ヌクレアーゼフリー水 ~DEPC処理水の問題点~ | 実験の基本情報| BDL・株式会社バイオダイナミクス研究所
ホーム  >  実験の基本情報  >  Vol.15

実験の基本情報

ヌクレアーゼフリー水 ~DEPC処理水の問題点~

 

 

 

ヌクレアーゼフリー水はDNAやRNAを分解するヌクレアーゼ活性を示さないことを検定済み水で、分子生物学実験に有用です。作製方法は、主にDEPC処理と限外ろ過処理の二通りあります。 DEPC処理水 (DEPC treated Water) は、Diethyl pyrocarbonate (DEPC:二酸化ジエチル) を混合し、オートクレーブによって不活化した水のことです。DEPCはヌクレアーゼを不活性化することから、Nuclease free waterとして広く利用されてきました。限外ろ過処理によるヌクレアーゼフリー水は専用のフィルターを用いて、限外ろ過によりヌクレアーゼを含むタンパク質全般を除去した水を指します。DEPC処理水は下記に示すような欠点があるため現在好んで使用されません。

DEPC処理の原理

DEPC処理水は、DEPCを水に添加し、十分にヌクレアーゼと反応させた後、オートクレーブによってDEPCを不活性化することで調製します。
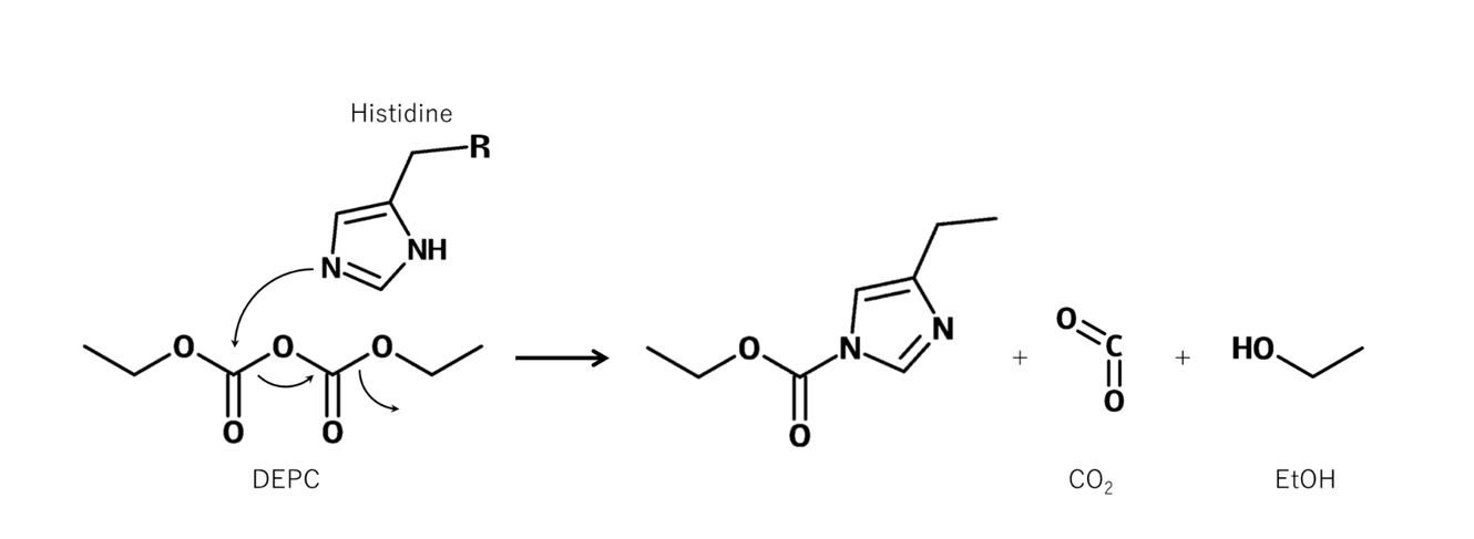
DEPCはタンパク質のヒスチジン、リジン、システイン、チロシンなどと反応し、共有結合を形成することから、ヌクレアーゼ等を失活させます。

DEPCとHistidineの反応スキーム

(図1)DEPCとHistidineの反応スキーム

 

 

 

反応機構からもわかるように、DEPCはあらゆる求核剤と反応するため、DEPC水溶液をそのまま実験の溶媒として使用することは困難なことが多いです。

そこで、ヌクレアーゼとの反応後はオートクレーブによる過熱操作でDEPCを不活化します。DEPCは加熱によって水と反応し、その後の実験に影響を与えにくい二酸化炭素とエタノールに分解する特長があります。

DEPCの加水分解

(図2)DEPCの加水分解

DEPCの問題点

DEPCには以下に挙げる問題点があります。

①オートクレーブ後の残存DEPCがタンパク質や核酸、バッファーなどと反応し、実験に悪影響を及ぼす可能性。
②DEPCは求核剤と反応することから、求核剤としてふるまうバッファーを使用することができません。すなわち、活性な-O:, -N:, -S:を持つ分子に使用できないため、一般的に使用される、Tris Buffer, HEPES BufferなどをDEPC処理することはできません。
③DEPCに発がん性が指摘されています。

以上の観点から、限外ろ過処理によりタンパク質を除去したNuclease free waterを用いると安心して確実な実験が可能です。

一般的なDEPC処理水の調製方法

DEPCには発がん性が指摘されています。SDS(Safety Data Sheet)をよく読み、取り扱いを慎重に行ってください。また、人体への暴露を避けるため、取り扱いは必ず局所排気装置内で行い、適切な保護具(手袋、保護メガネ、マスク等)を着用してください。 特にオートクレーブ処理では加熱に伴う蒸気、廃液等を暴露しない設備をあらかじめ整え、十分に注意して実施してください。

 

 

 

  1. オートクレーブ可能なガラス瓶にスターラーバーを入れる。

  2. H2Oを秤量し、上記ガラス瓶に入れる。

  3. H2Oの1/1000量のDEPCを添加する。

  4. マグネティックスターラーで均一な溶液になるまで撹拌し、0.1% (v/v) DEPC水溶液とする。

  5. 37℃で1~2時間、または室温で終夜静置する。

  6. オートクレーブを用いて、121℃で20分加熱する。

  7. 室温に冷却後、DNA, RNAの分解試験を行う。

水中に含まれるヌクレアーゼの量によってDEPCの量は変化させる必要があります。しかし、過剰なDEPCは過剰なエタノールを生成するため推奨されません。

 

 

 

こちらもおすすめ
RNase/DNase-free Water, non DEPC
・DEPC処理を行っていないヌクレアーゼフリー水です。
・容量 1 mL, 10 mL, 50 mL, 250 mL, 500 mL, 1000 mLをラインナップ。試料の希釈や反応液の調製などの少量使用から、アガロースゲルや泳動バッファーの調製などの大量使用まで、さまざまなニーズに対応します。
・1本ごとにキャップシールで密封されているため、開封済みのものがひとめで分かります。「新品」を確実に開封して、安心して実験することができます。